-
首頁>>
新聞動態>>
必威体育世界杯官网下载
必威体育世界杯官网下载
廣州健康院完成天然產物Brussonol的全合成
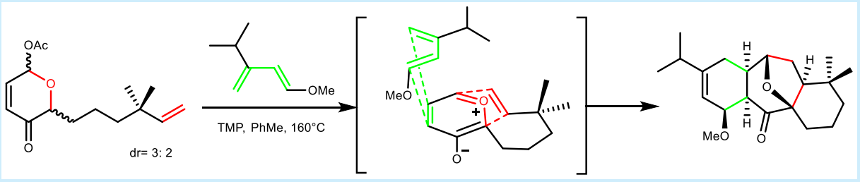
近期,廣州生物醫藥與健康研究院邱發洋課題組完成了Icetexane二萜類天然產物Euolutchuol E, Przewalskine E和Brussonol的全合成工作。該成果於近日發表在Organic Letters雜誌上。
Icetexane二萜是一類具有[6-7-6]環係的天然產物。此類天然產物中包含有很多具有生物活性的化合物。例如此工作中所合成的Brussonol對P388鼠白血病細胞係有中等細胞毒性作用,同時對昆蟲和哺乳動物細胞係具有細胞毒性。
在此工作中,主要利用了串聯的[5+2]和[4+2]環化反應一步構Icetexane二萜類天然產物的全碳骨架結構。然後再應用二氧化硒實現C環的芳構化。整個分子的合成思路與前人大不相同。之前關於此類分子的合成均以芳香C環為基礎,再構建A、B環。而此工作創造性的先構建出全碳骨架,最後實現C環的芳構化。
該工作由博士研究生張敬在其導師邱發洋的指導下完成。

Icetexane二萜類天然產物的骨架結構與其代表性化合物

串聯的[5+2]和[4+2]環化反應
